TOKİ'den %25 peşinatlı anahtar teslim daireler! En yüksek 1.112.767,29 TL! 13 ilde aylık 6.954 TL taksitle 2+1, 3+1, 4+1 ev imkanı...
Yılın sonlarına yaklaşırken, Türkiye genelinde ev ya da iş yeri sahibi olma arzusu taşıyanlar için TOKİ, çekici fırsatlar sunuyor. %25 peşinat ve 120 aya varan vade seçenekleriyle taksitlendirme imkanı sağlayan TOKİ, 13 farklı ildeki projelerinde çeşitli daire seçeneklerini uygun fiyatlarla sunuyor. İşte TOKİ'nin konut projelerine dair detaylar...
TOKİ, %25 peşinat ve 120 ay vade seçeneği ile taksitlendirme avantajlarını duyurdu. TOKİ, uygun fiyatlar, çeşitli daire seçenekleri ve geniş ödeme kolaylıklarıyla ev sahibi olmak isteyenlere çekici fırsatlar sunuyor. Projeler, 13 farklı ilde yer almaktadır ve her ilde farklı vade ve fiyatlandırma seçenekleri bulunmaktadır. İşte il il fiyat ve başvuru detayları...
İŞTE İL İL TOKİ BAŞVURU ŞARTLARI VE FİYAT LİSTESİ!
KARAMAN
Karaman ilinde toplam 40 adet konut 22 Kasım 01-Aralık 2023 tarihleri arasında T.C. Ziraat Bankası A.Ş. Karaman-Piri Reis Şubesinde, başvuru toplanmak üzere kuralı satışa sunuldu.

DENİZLİ
Denizli-Baklan 2.Etap Toplu Konut Projesinde "Orta Gelir Konut Grubu" (2+1) tipi 11 adet ve (3+1) tipi 6 adet olmak üzere toplam 17 adet konut 20-24 Kasım 2023 tarihleri arasında başvuru alınmak suretiyle "kuralı satış yöntemiyle" satışa sunuldu.

Toplu Konut İdaresi Başkanlığı tarafından ElAZIĞ İLİ, KEBAN İLÇESİ, 88 ADET KONUT PROJESİ kapsamında 8 adet konut KURA Yöntemi ile satışa sunuldu.

ERZURUM
Erzurum-Şenkaya, Akşar Mah. (110/100000) 1.Etap Toplu Konut Projesinde "Orta Gelir Konut Grubu"ndaki konutlar ayrı ayrı Şenkaya ve Akşar Mah. olarak "Kuralı Satış" yöntemiyle satışa sunuldu.

ESKİŞEHİR
Toplu Konut İdaresi Başkanlığı tarafından ESKİŞEHİR İLİ ÇİFTELER İLÇESİ 205 KONUT İNŞAATI kapsamında üretilecek 12 adet konut satışa sunuldu.


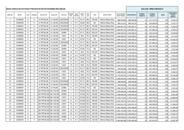
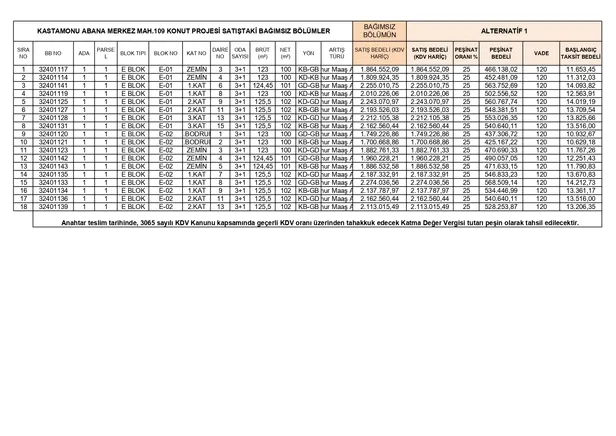
Kastamonu 3+1 daire faiyatları...
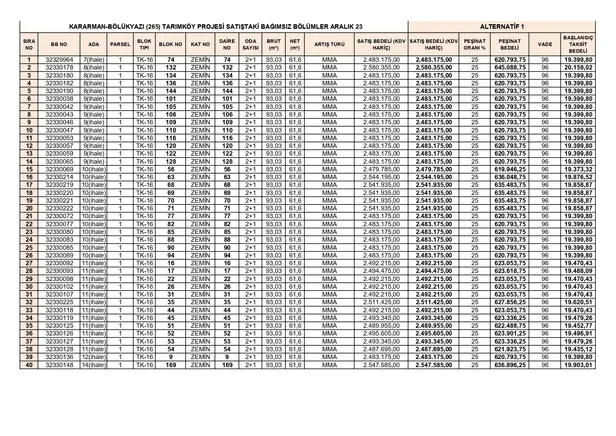
KIRIKKALE
Kırıkkale Keskin 4. Etap 79 Konut Projesi kapsamında; 2+1 nitelikli 8 adet konut ve 3+1 nitelikli 7 adet konut olmak üzere toplam 15 adet konut, 22 – 24 Kasım 2023 tarihleri arasında Kura Yöntemi ile satışa sunuldu.
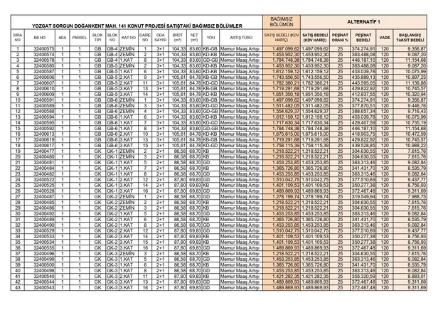
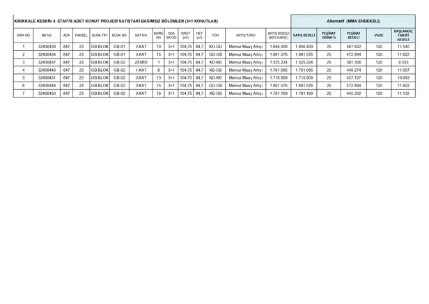
Kırıkkale 2+1 daire faiyatları...

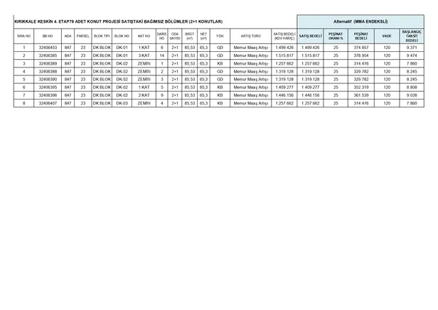
MANİSA
Toplu Konut İdaresi Başkanlığı tarafından MANİSA İLİ AHMETLİ İLÇESİ AHMETLİ MAHALLESİ 78 ADET KONUT İNŞAATI kapsamında üretilecek 12 adet konut satışa sunuldu.

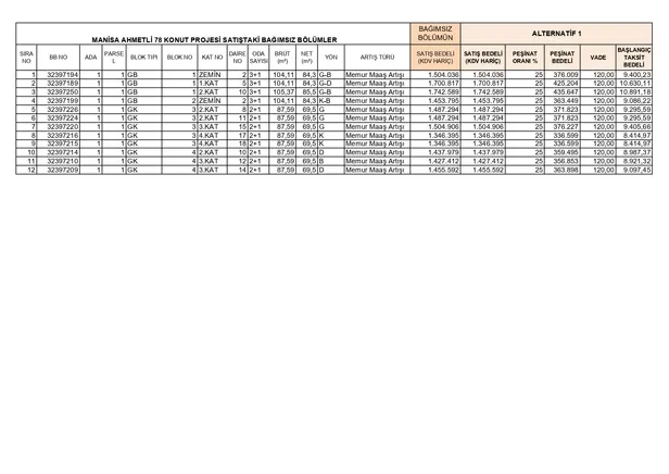
OSMANİYE
Toplu Konut İdaresi Başkanlığı tarafından OSMANİYE İLİ DÜZİÇİ İLÇESİ ELLEK BELDESİ 160 ADET KONUT VE 10 ADET DÜKKAN İNŞAATLARI kapsamında üretilecek 19 adet konut satışa sunuldu.

SİVAS
Toplu Konut İdaresi Başkanlığı tarafından SİVAS İLİ AKINCILAR İLÇESİ 2. ETAP 276 KONUT, 3 DÜKKANLI TİCARET MERKEZİ kapsamında üretilecek 66 adet konut satışa sunulacaktır.

YOZGAT
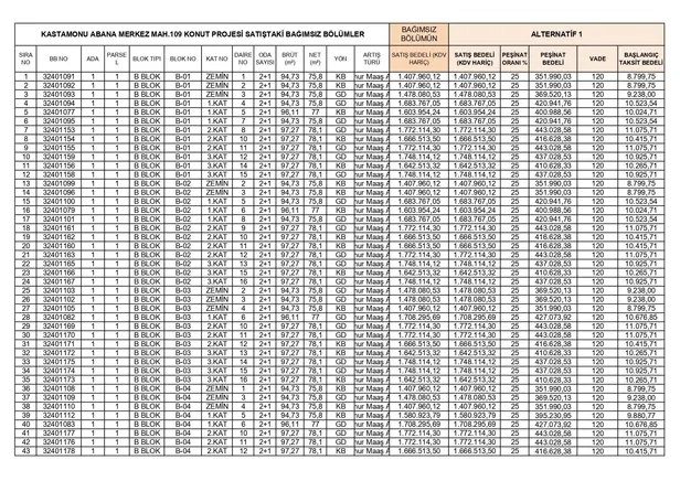
Yozgat Sorgun Doğankent Mah. 141 Konut Projesi kapsamında İdaremiz stoklarında bulunan 64 adet konut kuralı satış yöntemi ile 27 Kasım 08 Aralık 2023 tarihleri arasında satışa sunuldu.

ZONGULDAK
İdaremiz Zonguldak Devrek Çaydeğirmeni 5. Etap projesi kapsamında Engelli Vatandaşlara yönelik satışa sunulan 8 adet konut için 6 adet geçerli başvuru yapılmış olup, geçerli başvuru sahiplerinin tamamı hak sahibi olmuş olup kura çekilişi yapılmayacaktır.

ANKARA
Toplu Konut İdaresi Başkanlığı tarafından ANKARA İLİ, BEYPAZARI İLÇESİ, 2. ETAP 428 ADET KONUT PROJESİ kapsamında 197 adet konut KURA Yöntemi ile satışa sunuldu.


GÜNÜN MANŞETLERİ İÇİN TIKLAYIN







