Son dakika: KPSS 2020/13 tercih sonuçları açıklandı mı? Karayolları Genel Müdürlüğü personel alımı yerleştirmeleri...
KPSS 2020/13 tercih kapsamında Karayolları Genel Müdürlüğü'ne personel alımı yapılacak. Tercih işlemleri 7-12 Ekim tarihlerinde gerçekleştirilmişti. Şimdi ise sıra sonuçlarda. Yerleştirme işlemlerinde aynı puanı alan adaylar arasından mezuniyet tarihi itibarıyla önce mezun olmuş olana, bunun aynı olması halinde yaşı büyük olana öncelik tanınacak. Peki, KPSS 2020/13 tercih sonuçları açıklandı mı? Karayolları Genel Müdürlüğü personel alımı sonuçları ne zaman açıklanacak? İşte merak edilenler...
Karayolları Genel Müdürlüğü'nün tekniker, mühendis, mimar ve şehir plancısı kadrolarına yapılacak personel alımı için 7-12 Ekim 2020 tarihlerinde KPSS 2020/13 tercihleri alındı. Tercih bildiriminde bulunan binlerce vatandaş heyecan içinde sonuçları beklemeye başladı. ÖSYM tarafından yerleştirilen adaylar, yerleştirildikleri sözleşmeli personel pozisyonlarına Karayolları Genel Müdürlüğü tarafından hizmet sözleşmesi hazırlanmak suretiyle doğrudan atanacaklar. Peki, KPSS 2020/13 tercih sonuçları açıklandı mı? Karayolları Genel Müdürlüğü personel alımı sonuçları ne zaman açıklanacak? İşte cevaplar...
KPSS 2020/13 TERCİH SONUÇLARI NE ZAMAN AÇIKLANACAK?
KPSS 2020/13 tercihleri 12 Ekim'de tamamlandı. Ancak sonuçlarının hangi tarihte açıklanacağı henüz duyurulmadı. ÖSYM tarafından sonuçların önümüzdeki hafta içerisinde açıklanması bekleniyor. Resmi açıklama geldiğinde haberimizin içeriğinde yer alacak.
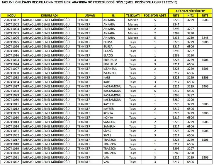
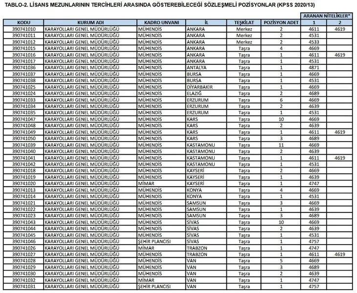
HANGİ KADROLARA ALIM YAPILACAK?
Ön lisans ve lisans mezunlarının tercihleri arasında gösterebileceği sözleşmeli pozisyonlar şu şekilde:



ŞARTLAR NELER?
Adayların, bu kılavuzda lisans düzeyinde ilan edilen sözleşmeli pozisyonları tercih edebilmeleri için 22 Temmuz 2018 tarihinde yapılmış olan Kamu Personel Seçme Sınavına (2018-KPSS Lisans); ön lisans düzeyinde ilan edilen sözleşmeli pozisyonları tercih edebilmeleri için ise 4 Kasım 2018 tarihinde yapılmış olan Kamu Personel Seçme Sınavına (2018-KPSS Ön Lisans) girmiş ve bu sınavların en az birinden ilgili KPSS puanını almış olmaları gerekir.
Yerleştirmeişlemlerinde, önlisans mezunları için KPSSP93 ve lisans mezunları için KPSSP3puanı kullanılacaktır.Adaylar sınava girdikleri öğrenim düzeyindeki pozisyonlardan tercih yapmak zorundadır. Sınava girilen öğrenim düzeyinden mezun olamama ya da sınava girdikten sonra daha üst öğrenim düzeyinde diploma almış olmak gibi nedenlerle sınava girilen öğrenim düzeyinde değişiklik yapılması mümkün değildir.

YERLEŞTİRME NASIL OLACAK?
Yerleştirme işlemlerinde aynı puanı alan adaylar arasından mezuniyet tarihi itibarıyla önce mezun olmuş olana, bunun aynı olması halinde de yaşı büyük olana öncelik tanınacaktır.
Yerleştirme yapılırken ÖSYM tarafından; sınava girilen öğrenim düzeyi, cinsiyet, mezun olunan program ile sözleşmeli personel pozisyonları için aranan nitelikler arasındaki tutarlık kontrol edilecek bunlardan birinde bile bir tutarsızlık tespit edildiği takdirde söz konusu tercih iptal edilecektir.
Yerleştirmede adayların ÖSYM kayıtlarındaki bilgileri esas alınacaktır. Bu bilgilerde gerçeğe uymayan hususlar tespit edildiği takdirde, yerleştirmesi yapılan adayların Karayolları Genel Müdürlüğünce atamaları yapılmayacak, adaylar bu durumdan dolayı bir hak iddia edemeyeceklerdir.
Yerleştirme işleminde adaylar puanlarına ve tercih sıralarına bakılmak suretiyle sözleşmeli personel pozisyonlarına yerleştirileceklerdir. Daha yüksek puanlı adaylar yerleştiği için birinci tercihine yerleşemeyen bir aday ikinci tercihine, ikinci tercihine yerleşemeyen aday üçüncü tercihine yerleştirilmeye çalışılacak, yerleştirme işlemi bu şekilde devam edecektir. Bir adayın son tercihine de daha yüksek puanlı adaylardan biri yerleştirildiği takdirde bu aday herhangi bir sözleşmeli personel pozisyonuna yerleşememiş olacaktır.
SÖZLEŞMELİ POZİSYONLARA ATANMA
ÖSYM tarafından yerleştirilen adaylar, yerleştirildikleri sözleşmeli personel pozisyonlarına Karayolları Genel Müdürlüğü tarafından hizmet sözleşmesi hazırlanmak suretiyle doğrudan atanacaklardır. Yerleştirildikleri halde atama için öngörülen niteliklere sahip olmayan veya gerekli belgeleri süresi içinde yerleştirildiği kuruma teslim etmeyen adayların atamaları yapılmayacaktır.
GÜNÜN MANŞETLERİ İÇİN TIKLAYIN