SAĞLIK BAKANLIĞI KURA SONUÇLARI 2023! İŞKUR Sağlık Bakanlığı personel alımı ne zaman? Engelli işçi alımı kura çekimi isim listesi sorgulama...
"Sağlık Bakanlığı işçi alımı kura sonuçları ne zaman açıklanacak?" sorusunun cevabı araştırılıyor. Sağlık Bakanlığı tarafından gerçekleştirilen engelli işçi alımı için yapılan kura çekiliş sonuçları büyük bir merakla bekleniyor. Dün itibariyla İŞKUR üzerinden yapılan başvuruların sona ermesiyle birlikte, birçok ilde toplamda 216 temizlik personeli alımı için adaylar başvuru yapmıştı. İşte Sağlık Bakanlığı personel alımı kura sonuçları!

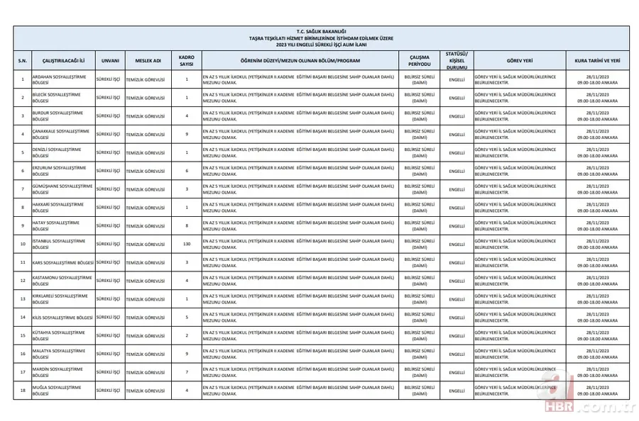
Sağlık Bakanlığı engelli işçi alımı kura sonuçları vatandaşlar tarafından araştırılıyor. Sağlık Bakanlığı bünyesinde görevlendirilmek üzere 216 engelli personel alımı yapılacak. Temizlik kadrosunda istihdam edilecek işçiler için başvurular İŞKUR üzerinden alındı. Başvuruların sona ermesi sonrası gözler kura çekimine çevrildi. İşte, engelli işçi alımı kura sonuç tarihi, kadro ve branş dağılımı...

SAĞLIK BAKANLIĞI PERSONEL ALIMI KURA TARİHİ
Başvurular, Türkiye İş Kurumu (İŞKUR) esube.iskur.gov.tr adresi üzerinden 01.11.2023 - 06.11.2023 tarihleri arasında elektronik (online) kullanıcı girişi yapılarak alındı. Sağlık Bakanlığı sürekli işçi alımı kurası 28 Kasım tarihinde Ankara'da yapılacaktır.

SAĞLIK BAKANLIĞI İŞÇİ ALIMI YAPILACAK YERLER LİSTESİ
Ardahan (1), Çanakkale (9), Denizli (1), İstanbul (130), Kastamonu (4), Kilis (5), Mardin (7), Samsun (8), Sivas (1), Bilecik (1), Burdur (4), Erzurum (6), Gümüşhane (3), Hakkari (1), Hatay (8), Kars (3), Kırklareli (1), Kütahya (2), Malatya (9), Muğla (4), Sakarya (7), Sinop (1)








