KPSS 2020/13 tercih sonuçları açıklandı mı? Karayolları Genel Müdürlüğü personel alımı yerleştirme işlemleri...
Binlerce vatandaşın heyecanla beklediği KPSS 2020/13 tercihlerinde son aşamaya gelindi. ÖSYM tarafından 7 Ekim'de başlayan tercih işlemleri 12 Ekim'de sona erdi. Karayolları Genel Müdürülüğü'ne yapılacak sözleşmeli personel alımı için gerçekleştirilen tercihlerin sonuçları heyecanla bekleniyor. Birçok kadroya yapılacak personel alımı ile ilgili son gelişmelere ahaber.com.tr'den ulaşabilirsiniz. Peki, KPSS 2020/13 tercih sonuçları ne zaman açıklanacak? KPSS 2020/13 ile Karayolları Genel Müdürlüğü'nün hangi kadrolarına personel alınacak?
KPSS 2020/13 tercih sonuçları açıklandı mı? Ölçme, Seçme ve Yerleştirme Merkezi (ÖSYM) tarafından 2020 yılına ilişkin KPSS tercihleri devam ediyor. Son olarak 7-12 Ekim tarihleri arasında KPSS 2020/13 tercihleri alındı. Bu tercih döneminde Karayolları Genel Müdürlüğü'nün birçok kadrosuna sözleşmeli personel alımı gerçekleştirilecek. Şimdi ise sıra sonuçlarda. Heyecanla beklenen sonuçlar ile ilgili detayları ahaber.com.tr'den takip edebilirsiniz. Peki, KPSS 2020/13 tercih sonuçları ne zaman açıklanacak? İşte son gelişmeler...
KPSS 2020/13 TERCİH SONUÇLARI NE ZAMAN AÇIKLANACAK?
Adaylar tercihlerini, 07-12 Ekim 2020 tarihleri arasında gerçekleştirdiler. Sonuçların hangi tarihte açıklanacağı henüz belli olmadı. Ancak bir önceki tercihlere baktığımızda sonuçların 1-2 hafta içerisinde açıklanması bekleniyor.
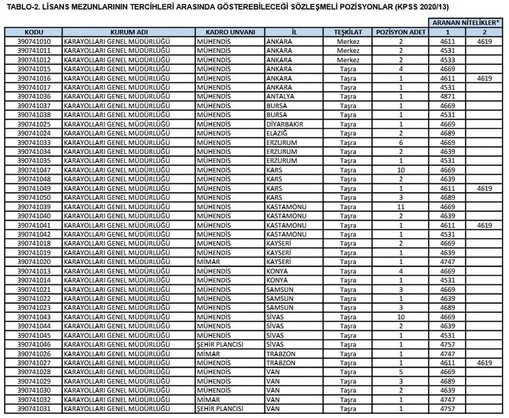
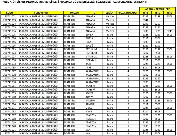
HANGİ KADROLARA ALIM YAPILACAK?
Ön lisans ve lisans mezunlarının tercihleri arasında gösterebileceği sözleşmeli pozisyonlar şu şekilde:



ŞARTLAR NELER?
Adayların, bu kılavuzda lisans düzeyinde ilan edilen sözleşmeli pozisyonları tercih edebilmeleri için 22 Temmuz 2018 tarihinde yapılmış olan Kamu Personel Seçme Sınavına (2018-KPSS Lisans); ön lisans düzeyinde ilan edilen sözleşmeli pozisyonları tercih edebilmeleri için ise 4 Kasım 2018 tarihinde yapılmış olan Kamu Personel Seçme Sınavına (2018-KPSS Ön Lisans) girmiş ve bu sınavların en az birinden ilgili KPSS puanını almış olmaları gerekir.
Yerleştirme işlemlerinde, önlisans mezunları için KPSSP93 ve lisans mezunları için KPSSP3puanı kullanılacaktır.Adaylar sınava girdikleri öğrenim düzeyindeki pozisyonlardan tercih yapmak zorundadır. Sınava girilen öğrenim düzeyinden mezun olamama ya da sınava girdikten sonra daha üst öğrenim düzeyinde diploma almış olmak gibi nedenlerle sınava girilen öğrenim düzeyinde değişiklik yapılması mümkün değildir.

YERLEŞTİRME NASIL OLACAK?
Yerleştirme işlemlerinde aynı puanı alan adaylar arasından mezuniyet tarihi itibarıyla önce mezun olmuş olana, bunun aynı olması halinde de yaşı büyük olana öncelik tanınacaktır.
Yerleştirme yapılırken ÖSYM tarafından; sınava girilen öğrenim düzeyi, cinsiyet, mezun olunan program ile sözleşmeli personel pozisyonları için aranan nitelikler arasındaki tutarlık kontrol edilecek bunlardan birinde bile bir tutarsızlık tespit edildiği takdirde söz konusu tercih iptal edilecektir.
Yerleştirmede adayların ÖSYM kayıtlarındaki bilgileri esas alınacaktır. Bu bilgilerde gerçeğe uymayan hususlar tespit edildiği takdirde, yerleştirmesi yapılan adayların Karayolları Genel Müdürlüğünce atamaları yapılmayacak, adaylar bu durumdan dolayı bir hak iddia edemeyeceklerdir.

Yerleştirme işleminde adaylar puanlarına ve tercih sıralarına bakılmak suretiyle sözleşmeli personel pozisyonlarına yerleştirileceklerdir. Daha yüksek puanlı adaylar yerleştiği için birinci tercihine yerleşemeyen bir aday ikinci tercihine, ikinci tercihine yerleşemeyen aday üçüncü tercihine yerleştirilmeye çalışılacak, yerleştirme işlemi bu şekilde devam edecektir. Bir adayın son tercihine de daha yüksek puanlı adaylardan biri yerleştirildiği takdirde bu aday herhangi bir sözleşmeli personel pozisyonuna yerleşememiş olacaktır.
SÖZLEŞMELİ POZİSYONLARA ATANMA
ÖSYM tarafından yerleştirilen adaylar, yerleştirildikleri sözleşmeli personel pozisyonlarına Karayolları Genel Müdürlüğü tarafından hizmet sözleşmesi hazırlanmak suretiyle doğrudan atanacaklardır. Yerleştirildikleri halde atama için öngörülen niteliklere sahip olmayan veya gerekli belgeleri süresi içinde yerleştirildiği kuruma teslim etmeyen adayların atamaları yapılmayacaktır.
GÜNÜN MANŞETLERİ İÇİN TIKLAYIN