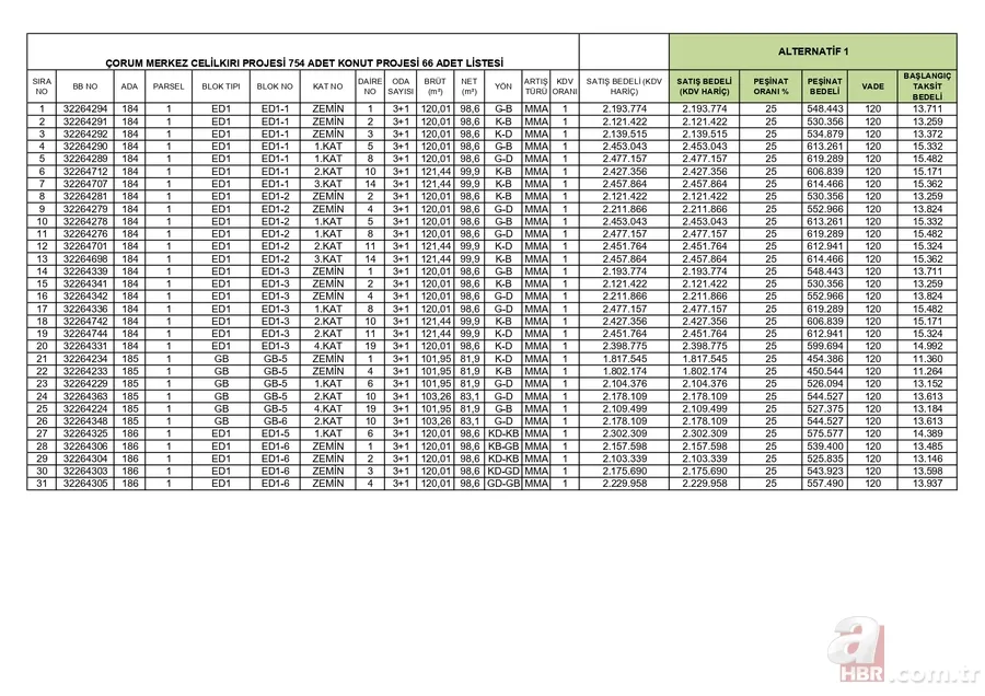
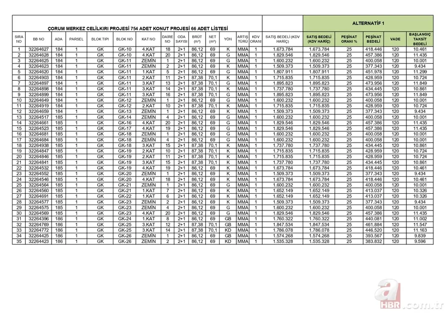
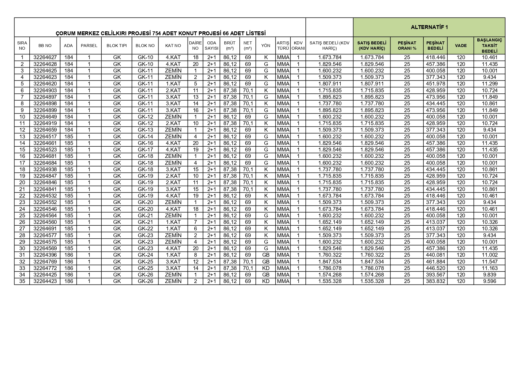
TOKİ'den anahtar teslim 1.182 daire müjdesi! En yüksek 1.535.328 TL! 2 ilde aylık 9.434 TL taksitle 2+1, 3+1 ev imkanı
Yılın ortalarına yaklaşırken, Türkiye genelinde ev sahibi olma hayali kuranlar için TOKİ, cazip fırsatlar sunmaya devam ediyor. %25 peşinat ve 120 aya varan vade seçenekleriyle taksitlendirme imkanı sağlayan TOKİ, ev sahibi olmayı kolaylaştırıyor. İki farklı ildeki projelerinde çeşitli daire seçeneklerini uygun fiyatlarla sunan TOKİ, konut taleplerini karşılamak için yoğun bir çaba harcıyor. Bu fırsatlar, ev sahibi olmayı hayal edenler için büyük bir avantaj sunuyor. İşte TOKİ'nin konut projelerine dair detaylar...

TOKİ, ev sahibi olma hayali kuranlar için yeni bir fırsat sunuyor! %25 peşinat ve 120 ay vade seçeneği ile taksitlendirme avantajları sağlayan TOKİ, uygun fiyatlar, çeşitli daire seçenekleri ve geniş ödeme kolaylıklarıyla dikkat çekiyor. İki farklı ilde yer alan projeler, her ilde farklı vade ve fiyatlandırma seçenekleri ile konut sahibi olmayı kolaylaştıran cazip fırsatlar sunuyor. Bu projeler, ev sahibi olma hayalini gerçeğe dönüştürmek isteyenler için büyük bir fırsat niteliğinde. İşte il il fiyat ve başvuru detayları...

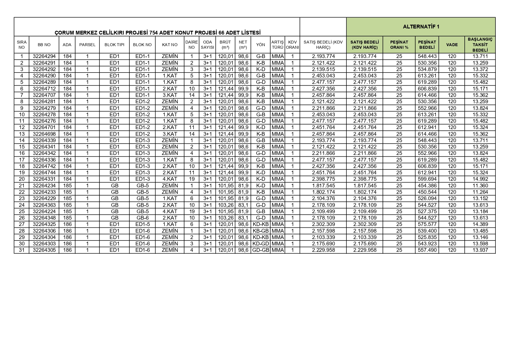
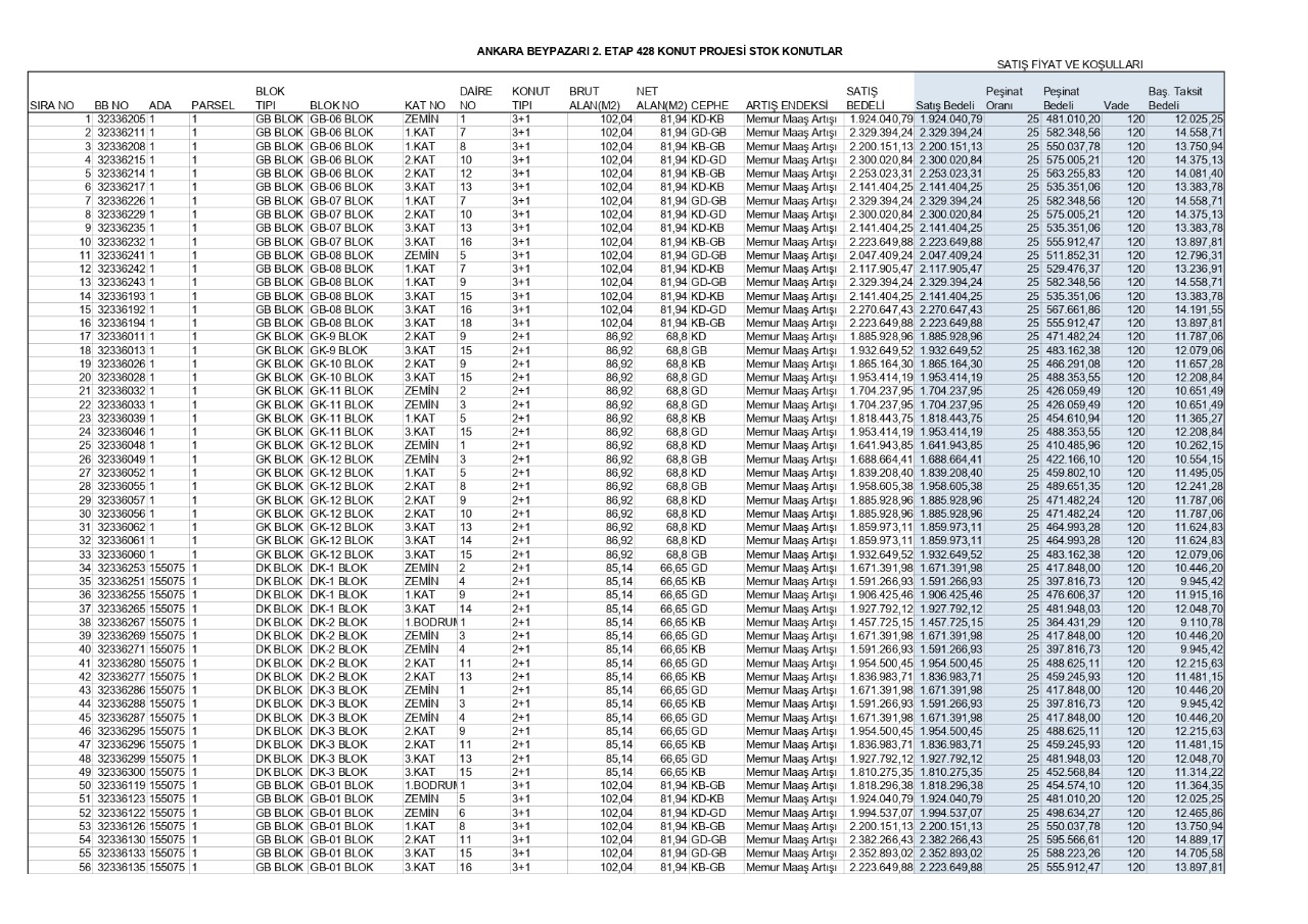
ANKARA TOKİ KONUT SATIŞI
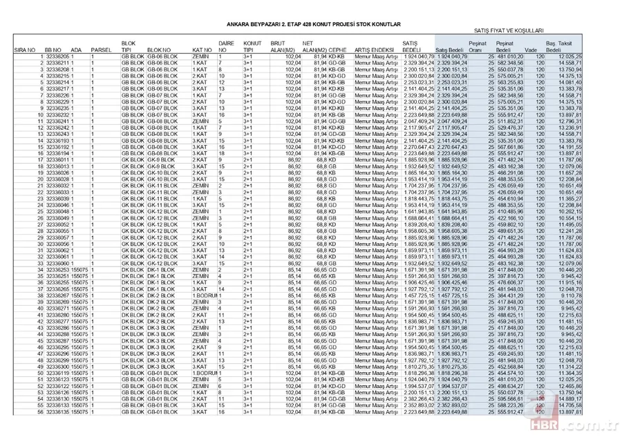
Toplu Konut İdaresi Başkanlığı (TOKİ), Ankara ili Beypazarı ilçesinde hayata geçirdiği 2. Etap 428 Konut Projesi kapsamında 113 konutu kura yöntemi ile satışa sunuyor. Ev sahibi olma hayali kuranlar için büyük bir fırsat sunan bu proje, uygun fiyat ve ödeme seçenekleriyle dikkat çekiyor. Kura yöntemiyle gerçekleştirilecek satışlar, Beypazarı'nda modern ve konforlu yaşam alanları arayanlar için önemli bir fırsat yaratıyor. İşte başvuru detayları ve satışa sunulan konutlarla ilgili bilgiler...

Başvuru Bilgileri:
📍Başvuru Tarihleri: 03 Haziran - 14 Haziran 2024 (E-devlet başvuruları 13 Haziran 2024 tarihinde sona erecektir)
📍Başvuru Bedeli: 2.000 TL📍Başv
uru Yapılacak Banka Şubesi: T.C. Ziraat Bankası AŞ. Ankara Beypazarı Şubesi
📍Başvuru Alınacak Konut Tipleri: 2+1 ve 3+1

Kura ve Sözleşme Detayları:
📍Kura Tarihi: 26 Haziran 2024
📍Sözleşme İmzalanacak Banka Şubesi: T.C. Ziraat Bankası AŞ. Ankara Beypazarı Şubesi
📍Asil Hak Sahipleri Sözleşme İmzalama Tarihleri: 01-05 Temmuz 2024
📍Yedek Hak Sahipleri Sözleşme İmzalama Tarihleri: 09-12 Temmuz 2024 (Asil hak sahiplerinin sözleşme imzalama işlemlerini tamamlamasından sonra kalan konutlar için)










