TOKİ Ankara kura çekimi isim listesi sorgulama ekranı! TOKİ Ankara Beypazarı kura sonuçları açıklandı! toki.gov.tr
Giriş Tarihi:Son Güncelleme:
ahaber.com.tr Haber Merkezi

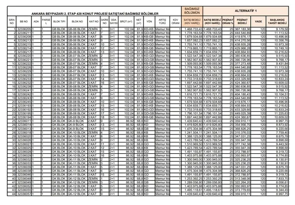
"TOKİ Ankara Beypazarı kura sonuçları nasıl öğrenilir?" sorusu vatandaşlar tarafından sorgulanıyor. TOKİ, %25 peşinat ve 120 ay vade seçeneği ile konut sahibi olma imkanları tanıyor. Bugün gerçekleştirilen kura çekimi sonrası başvuru yapanlar isim listesini araştırıyor. İşte Ankara Beypazarı kura sonuçları!
TOKİ, binlerce vatandaşın ev hayalini gerçekleştiriyor. Yıl sonu kampanyaları, uygun ödeme koşulları ve geniş konut seçenekleriyle dikkat çekiyor. Ankara Beypazarı konutları için kura çekimi bugün gerçekleştirildi. Başvuru yapanlar kura sonuçları isim listesini araştırmaya başladı. Peki, TOKİ Ankara Beypazarı kura sonuçları açıklandı mı? İşte haberin detayları...

TOKİ KURA ANKARA ÇEKİLİŞİ SONUÇLARI NASIL ÖĞRENİLİR?
Kura çekimi bugün saat 11:00'da TOKİ'nin resmi YouTube kanalı üzerinden yayınlandı.
TOKİ Ankara kura çekilişi isim listesi TOKİ resmi sayfası üzerinden öğreniliyor.
TOKİ ANKARA KURA SONUÇLARI SORGULAMA EKRANI E-DEVLET!

KURA SONUÇLARI İSİM LİSTESİ İÇİN TIKLAYINIZ
-
-
-



