TOKİ 7 ilde aylık 4.181 TL taksitle ev sahibi yapıyor! %25 peşinat+120 ay vade için kimliğinizle başvurun! 2+1, 3+1 daireler 1.522.775 TL...
Yılın sonuna yaklaşırken, Türkiye genelinde ev veya iş yeri sahibi olma arzusu taşıyanlar için TOKİ, çekici fırsatlar sunmaya devam ediyor. %25 peşinat ve 120 aya kadar varan vade seçenekleriyle taksitlendirme imkanı sunan TOKİ, 7 farklı ildeki projelerinde çeşitli daire seçeneklerini uygun fiyatlarla sunmaktadır. Bu projeler, ev sahibi olma hayali kuran vatandaşlar için cazip bir alternatif oluşturuyor. İşte detayları...
TOKİ, %25 peşinat ve 120 ay vade seçeneği ile taksitlendirme avantajlarını duyurarak ev sahibi olma imkanı sunuyor. Uygun fiyatlar, geniş daire seçenekleri ve ödeme kolaylıklarıyla TOKİ, Türkiye genelinde konut sahibi olmak isteyenlere çekici fırsatlar sunmaktadır. Projeler, 7 farklı ilde konumlanmış olup her ilde farklı vade ve fiyatlandırma seçenekleri ile dikkat çekmektedir. İl il fiyat ve başvuru detayları haberimizde...
İŞTE İL İL TOKİ BAŞVURU ŞARTLARI VE FİYAT LİSTESİ!
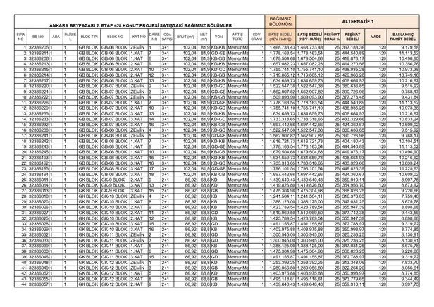
ANKARA BEYPAZARI 2. ETAP PROJESİ


Toplu Konut İdaresi Başkanlığı tarafından Ankara İli, Beypazarı İlçesi, 2. Etap 428 Adet Konut Projesi kapsamında 197 adet konut kura yöntemi ile satışa sunuldu.
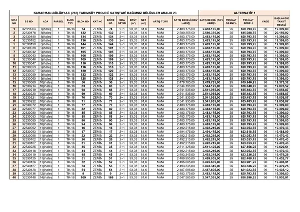
Karaman-Bölükyazı (265) Tarımköy Projesi kapsamında İdaremiz stoğunda kalan TK-16 (2+1) Tipi toplam 40 adet konut 22 Kasım-01 Aralık 2023 tarihleri arasında T.C. Ziraat Bankası A.Ş. Karaman-Piri Reis Şubesinde, başvuru toplanmak üzere kuralı satışa sunuldu.

📍BAŞVURU ŞARTLARI VE DETAYLARINA ULAŞMAK İÇİN TIKLAYIN!
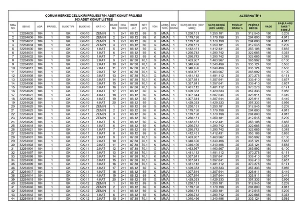
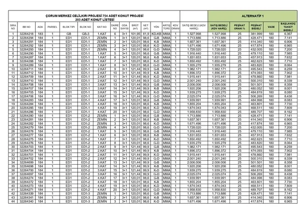
ÇORUM MERKEZ CELİLKIRI
Toplu Konut İdaresi Başkanlığı tarafından Çorum İli, Merkez İlçesi, Celilkırı Mah. 754 adet konut kapsamında üretilecek 203 adet konut satışa sunuldu.

2+1 daireler ve fiyat listesi


3+1 daireler ve fiyat listesi


📍BAŞVURU ŞARTLARI VE DETAYLARINA ULAŞMAK İÇİN TIKLAYIN!
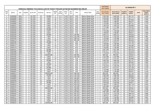
KIRIKKALE MERKEZ YUVA MAHALLESİ 927 KONUT PROJESİ
Kırıkkale Merkez Yuva Mahallesi 927 Konut kapsamında İdaremiz stoklarında yer alan 2+1 nitelikli 86 adet konut kura yöntemi ile satışa sunuldu.

Yozgat Sorgun Doğankent Mah. 141 Konut Projesi kapsamında İdaremiz stoklarında bulunan 64 adet konut kuralı satış yöntemi ile 27 Kasım 08 Aralık 2023 tarihleri arasında satışa sunuldu.

Toplu Konut İdaresi Başkanlığı tarafından Yozgat ili, Şefaatli ilçesi, İnceşehir mahallesi 104 adet konut, 6 adet dükkan İNŞAATI kapsamında 34 adet konut kura Yöntemi ile satışa sunuldu.

📍BAŞVURU ŞARTLARI VE DETAYLARINA ULAŞMAK İÇİN TIKLAYIN!
ELAZIĞ KEBAN 88 / 250.000 SOSYAL KONUT PROJESİ
Toplu Konut İdaresi Başkanlığı tarafından Elâzığ ili, Keban ilçesi, 88 adet konut projesi kapsamında 8 adet konut kura Yöntemi ile satışa sunulacaktır.

📍BAŞVURU ŞARTLARI VE DETAYLARINA ULAŞMAK İÇİN TIKLAYIN!
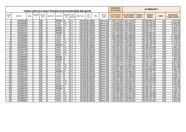
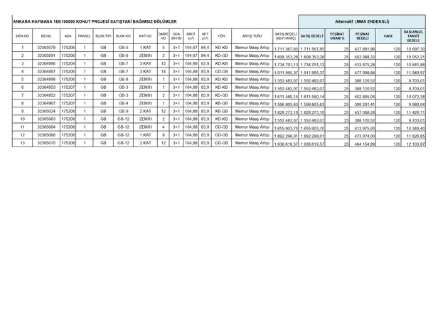
AFYONKARAHİSAR SİNANPAŞA 164/250000 SOSYAL KONUT PROJESİ
Toplu Konut İdaresi Başkanlığı tarafından Ankara ili, Haymana ilçesi, Kayabaşı mahallesi 185 adet konut ve 4 adet dükkan inşaatı kapsamında üretilecek 13 adet konut satışa sunuldu.

📍BAŞVURU ŞARTLARI VE DETAYLARINA ULAŞMAK İÇİN TIKLAYIN!
GÜNÜN MANŞETLERİ İÇİN TIKLAYIN





