ÖSYM şartları duyurdu! Bakanlık lise mezunu personel alımına başladı! Çevre Şehircilik ve İklim Değişikliği Bakanlığı başvuru ekranı…
Çevre, Şehircilik ve İklim Değişikliği Bakanlığı, lise mezunu adayları sevindirecek bir fırsat sunuyor! Bakanlık, boş kadrolara sözleşmeli personel alımı için ilan yayınladı. Başvuru detayları, ÖSYM tarafından hazırlanan kılavuzda detaylı bir şekilde yer alıyor. Çevre bilinci ve iklim değişikliği konularında etkili bir rol oynamak isteyen adaylar için bu önemli ilan, kariyerlerine çevre alanında katkıda bulunmak isteyenlere kapı aralıyor. İlanı kaçırmamak adına adaylar, başvuru sürecine dair detaylara ÖSYM kılavuzundan ulaşabilirler. İşte başvuru ekranı…
Çevre, Şehircilik ve İklim Değişikliği Bakanlığı, Devlet Memurları Kanunu'nun 48. maddesine uygun olarak sözleşmeli personel alımı kararı aldı. ÖSYM tarafından yayınlanan kılavuza göre, en az lise mezunu adaylar arasından gerçekleştirilecek olan alımlar, 2022 KPSS puan sıralamasına dayanacak. Bu önemli karar, çevre, şehircilik ve iklim değişikliği konularına duyarlı adaylar için büyük bir fırsat oluşturuyor. Sektörde etkili bir rol oynamak isteyenler için kapıları aralayan bu alım, çevresel bilince sahip adaylara önemli bir kariyer yolunu işaret ediyor. Detaylı başvuru süreci, adayların başvuruda bulunmadan önce kılavuzu dikkatlice incelemelerini gerektiriyor. İşte detaylar…

BAŞVURU TARİHİ VE ŞEKLİ
Çevre Şehircilik ve İklim Değişikliği Bakanlığı personel alımı başvuruları 23 Kasım 2023 tarihinde başlayıp 29 Kasım 2023 tarihine kadar devam ediyor.
Adaylar ÖSYM ais.osym.gov.tr sayfası üzerinden tercihlerini E-Devlet şifresi ile başvuruda bulunabilirsiniz.

HANGİ KADROLARA ALIM YAPILACAK?

Lise Mezunu;
41 Temizlik Görevlisi

Ön Lisans Mezunu;
208 Büro Personeli ile Koruma ve Güvenlik Görevlisi

Lisans Mezunu;
119 Büro Personeli, Mühendis, Avukat

BAŞVURU ŞARTLARI NELER?
- Türkiye Cumhuriyeti vatandaşı olmak,
- Kamu haklarından Mahrum olmamak,
- Görevini yapmasına engel olabilecek herhangi bir Sağlık sorunu olmamak,
- Yapılacak güvenlik soruşturması be arşiv araştırmasından olumlu sonuç alabilmek,
- 18 Yaşını doldurmuş olmak,
- Herhangi bir Sosyal güvenlik kurumundan yaşlı veya emekli aylığı almıyor olmak,
BOŞ KADROLAR VE KADROLARA GÖRE ŞARTLAR!

Ortaöğretim Mezunlarının Tercihleri Arasında Gösterebileceği Sözleşmeli Personel Pozisyonları

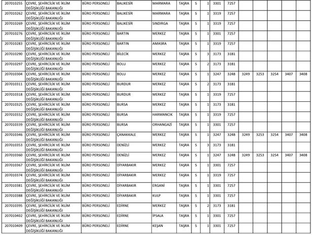
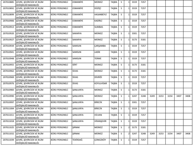
Ön Lisans Mezunlarının Tercihleri Arasında Gösterebileceği Sözleşmeli Personel Pozisyonları

Ön Lisans Mezunlarının Tercihleri Arasında Gösterebileceği Sözleşmeli Personel Pozisyonları

Ön Lisans Mezunlarının Tercihleri Arasında Gösterebileceği Sözleşmeli Personel Pozisyonları

Ön Lisans Mezunlarının Tercihleri Arasında Gösterebileceği Sözleşmeli Personel Pozisyonları

Ön Lisans Mezunlarının Tercihleri Arasında Gösterebileceği Sözleşmeli Personel Pozisyonları

Ön Lisans Mezunlarının Tercihleri Arasında Gösterebileceği Sözleşmeli Personel Pozisyonları

Ön Lisans Mezunlarının Tercihleri Arasında Gösterebileceği Sözleşmeli Personel Pozisyonları

Ön Lisans Mezunlarının Tercihleri Arasında Gösterebileceği Sözleşmeli Personel Pozisyonları

Ön Lisans Mezunlarının Tercihleri Arasında Gösterebileceği Sözleşmeli Personel Pozisyonları

Ön Lisans Mezunlarının Tercihleri Arasında Gösterebileceği Sözleşmeli Personel Pozisyonları

Lisans Mezunlarının Tercihleri Arasında Gösterebileceği Sözleşmeli Personel Pozisyonları

Lisans Mezunlarının Tercihleri Arasında Gösterebileceği Sözleşmeli Personel Pozisyonları

Lisans Mezunlarının Tercihleri Arasında Gösterebileceği Sözleşmeli Personel Pozisyonları

Lisans Mezunlarının Tercihleri Arasında Gösterebileceği Sözleşmeli Personel Pozisyonları
SÖZLEŞMELİ PERSONEL POZİSYONLARI İÇİN ARANAN NİTELİKLER

Ortaöğretim Mezunları İçin Aranan Nitelikler

Ön Lisans Mezunları İçin Aranan Nitelikler

Ön Lisans Mezunları İçin Aranan Nitelikler

Lisans Mezunları İçin Aranan Nitelikler
GÜNÜN MANŞETLERİ İÇİN TIKLAYIN
