AK Parti'den İstanbul seçim sonuçlarına itirazlarla ilgili son dakika açıklaması
Son dakika haberi... AK Parti Genel Başkan Yardımcısı Ali İhsan Yavuz, İstanbul seçimlerine yönelik itirazlar hakkında yaptığı bir konuşmanın Fatih Portakal ve CHP'li isimler tarafından çarpıtılmasına yönelik Twitter hesabından bir açıklamada bulundu.
AK Parti Genel Başkan Yardımcısı Ali İhsan Yavuz, Twitter hesabından İstanbul seçimlerine yapılan itirazlar ve kendisi hakkında yapılan spekülasyonlar hakkında konuştu. Yavuz, ayrıca İstanbul seçimlerinde yapılan usulsüzlüklerle ilgili belgeleri de tek tek paylaştı.
Yavuz'un Twitter'dan yaptığı açıklamalar şöyle:
Değerli Fatih Portakal ve CHP'li yöneticiler başta olmak üzere bazı kişiler, bana atfedilen "Hiçbir şey olmasa bile kesinlikle bir şeyler oldu ama fark edemedik" şeklindeki ifadeyi dillerine doladılar.
"Hiçbir şey olmasa bile kesinlikle bir şeyler oldu ama fark edemedik" şeklinde ifadem olmamasına rağmen bunu neden dillerine doladılar acaba? Böyle bir kurgudan bile medet umulduğu için olabilir mi? Benim için mahzuru yok ama acziyetin bu kadarı da gerçekten üzüntü verici.
Bir başka ihtimal de, bunu yapanların bu yalanı doğru sanmasıdır ki bu da gerçekten vahim. Siyasetçi ve medya mensubu olma sorumluluğu eylem ve söylemlerde ihtimam göstermeyi zorunlu kılar.
TEK DERDİMİZ ŞÜPHELERİ YOK ETMEK
İstanbul seçimleriyle ilgili ilk günden bugüne derdimiz; yapılan kanunsuzlukları ortaya çıkartarak seçimin üzerindeki şüpheleri yok etmek üzere meseleyi YSK'nın gündemine taşımaktır. Yani biz, belge ve bilgiyle doğruyu yapma çabasındayız. Vatan için,hukuk için...
Oysa CHP ve bir kısım çevreler, meselenin üzerini örtmeye çalışmakta, bunca kanunsuz yapılan iş ve işlemlerin tartışılmasının önünü kapatmakta ve en önemli seçim yolsuzluğunu görmezden gelmektedir. 'Kanun ne söylerse söylesin yeter ki İstanbul bizim olsun' tavrındadırlar.
Öte yandan CHP'liler, iddialarımızın somut olmadığını söyleyip durmaktadır.Oysa tüm iddialarımız somut ve belgeye dayalıdır.Söz konusu bu belgeleri birçok kez basınla paylaştık.Ayrıca istemeleri halinde bu belgeleri kendileriyle de paylaşacağımızı deklare ettik. Niye istenmedi..?
CHP, "Sandık kurulu başkanlarının listesi partilerde var" diyor. Oysa YSK'nın "Bu listeler, partilere verilmez" kararı var. Öyle ise bize verilmeyen listeleri CHP'ye kim verdi. Ya da bu listeleri CHP nasıl aldı, kimden aldı ve neden aldı?




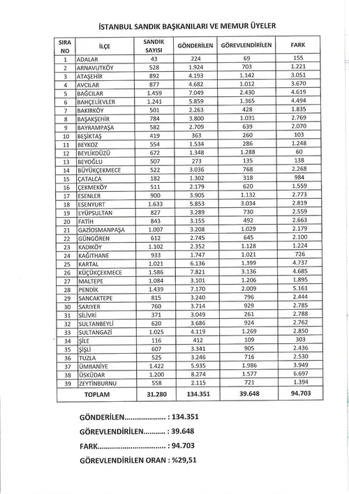
Mülki İdare, 298 sayılı yasanın 22. ve 23.maddeleri gereği,134.351 kişilik kamu görevlileri listesini seçim kurullarına vermiş ancak seçim kurulları 62.560 kişinin tamamını bu listelerden ataması gerekirken 19.742 kişiyi kanuna aykırı şekilde bu listelerin dışından belirlemiş.


Hatta bazı seçim kurulları, daha da ileri giderek, adeta kanun koyucunun yerine geçmiş ve olmayan bir kanun maddesini var gibi göstererek işlem yapmıştır. Örneğin, 298 Sayılı kanunun 31.maddesine göre kişileri bankalardan istemiştir. Oysa bu madde 2017'den beri mülga.Yani yok!


Diyorlar ki "Ölülerin ve cezaevinde olanların oy kullanacak hali yok." Oysa kullanmışlar.Daha doğrusu özel görevli (!) bir kısım sandık başkanları, bunların yerine oy kullandırtmış. İşte kamu görevlisi dışından atanan başkanın bulunduğu sandıkta 2 hükümlünün oy kullanma belgesi:

Savcılık soruşturmaları da gösterdi ki, FETÖ unsurları bu Organize Usulsüzlükte aktif rol almıştır. Baştan beri zaten bunu büyük oranda tespit ederek yer yer kamuoyuyla paylaştık, paylaşmaya da devam ediyoruz. Öncelikli amacımız,seçim güvenliğinin önündeki engelleri kaldırmaktır.
Biz şimdi bu işin neresini düzeltelim:
1) Hükümlüler seçmen listesinde yer alamaz. Alırsa da yanına "oy kullanamaz" şerhi düşer; düşmemiş!
2) Sandık başkanları memur olur; olmamış!
3) Kimliksiz oy kullandırtılamaz; kullandırılmış!
Mühürsüz, imzasız, isimsiz hatta boş olan Sandık Sayım Döküm Cetvelleri, kayıp oy pusulaları, çelişkili rakamlar, oy kaydırmaları vesaire gibi durumların da yaşandığını gördük ve bunları belgeleriyle birlikte kamuoyuyla paylaştık.
SONUÇ:
1-Birçok açıdan tam kanunsuzluk hali sözkonusu
2-Tam bir Seçim Yolsuzluğu var
3-Münferit ve sehven değil; müştereken ve kasıtlı olarak"Organize Usulsüzlük"yapılmış
4-CHP "Kanun ne söylerse söylesin yeter ki İstanbul bizim olsun" tavrında.
BİZLER:
1-Seçim güvenliğini her şeyden çok mühimsiyoruz.
2-Kanunların çiğnemesine, velev ki lehimize olsa bile gönlümüz asla razı olmaz.
3-Bu işin peşini kesinlikle bırakmayıp sonuna kadar gideceğiz
4) Sonunda hak kazansın, hukuk kazansın istiyoruz.
İstanbul seçimlerindeki usulsüzlüklerde 43 kişinin FETÖ irtibatı tespit edildi
GÜNÜN MANŞETLERİ İÇİN TIKLAYIN


