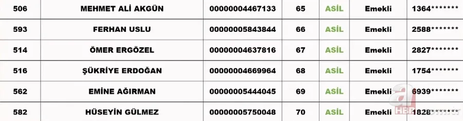
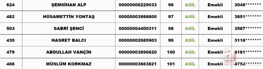
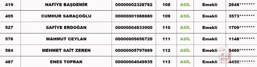
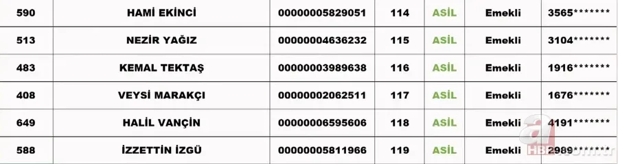
TOKİ SİİRT KURA ÇEKİMİ | TOKİ Siirt kura sonuçları isim listesi! NİHAİ ve YEDEK liste... Merkez, Baykan, Eruh, Tillo.... 2+1, 3+1 TOKİ kura çekiliş sonucu
TOKİ Siirt kura çekimi bugün gerçekleşecek. Ev sahibi olmak isteyen milyonlarca kişi TOKİ kura çekimi ile ilgili detayları araştırıyorlar. Dün gerçekleşen TOKİ Ardahan ve Şırnak kura çekiminin ardından sıra Kars ve Siirt illerine geldi. Peki Siirt kura çekimi sonuçları belli oldu mu? Siirt, Merkez, Baykan, Eruh ve Tilo ilçeleri isim listesi yayınlandı mı? İşte Siirt TOKİ isim listesi....

TOKİ Siirt kura çekimi sonuçları arama motorlarında araştırılıyor. Cumhuriyet tarihinin en büyük sosyal konut projesinde 2+1, 3+1 evler için sıra kura çekilişinde. Ardahan ve Şırnak ilçelerinin ardından sıra Kars ve Siirt için TOKİ kura çekilişine geldi. Bugün gerçekleşecek kura çekilişi ile nihai isim listesi ve yedek liste belli olacak. Peki TOKİ Siirt kura çekilişi sonuçları açıklandı mı? İşte Merkez, Baykan, Eruh, Tillo ilçeleri TOKİ kura sonuçları....

TOKİ KURA ÇEKİMİ CANLI NASIL İZLENİR?
TOKİ Ardahan bugün saat 09:00'da başladı. TOKİ kura çekimini canlı izlemek için aşağıdaki linklere tıklayabilirsiniz.

SİİRT TOKİ KONUTLARI KAÇ ADET?
TOKİ Sosyal Konut Projesi kapsamında Siirt ilçesinde 903 konut için kura çekimi gerçekleştirilecek.






















